Persicaria tinctoria leaves with the first few flowers starting to emerge, October 2022
Why Indigo?
Indigo captured my interest in May 2022, as the closure of my beloved ceramics studio loomed. Learning something new was the perfect remedy for the ambient uncertainty of the time.
Having trained as a scientist, I naturally sought out research articles and technical references to supplement what I was learning from various blog posts and any natural dyeing books I could track down. With gratitude to the natural dyers who have shared their knowledge so freely in blog posts and books, I want to offer a few of the obscure but useful tidbits I’ve learned into a form that’s easier to interpret. This is a work in progress. Corrections and comments are welcome.
Experiencing Indigo
Before we get into the details, let’s bring to mind what we can observe directly from an indigo leaf:
It’s late summer and the indigo plant has been soaking up the heat and light of the long, warm days. You pick a plump leaf and gently rub it between your fingers. The tender cell structures break and the bright green liquid soaks into your skin. You sit a few minutes. As you feel the breeze flowing over your hand, you begin to notice a hint of blue, which darkens into an indigo mark that persists for several days.
A Scientific View
So how did we get blue from a green leaf? Persicaria tinctoria, the knotweed indigo known as “ai” in Japan, has been studied scientifically in impressive detail. Researchers in Japan have learned that a molecule called indican is stored in vacuoles, the fluid-filled structures that plump up leaves. A particular enzyme called beta-glucosidase is present in chloroplasts, the structures where the alchemy of photosynthesis takes place.
When we crush a leaf with our fingers, vacuoles and chloroplasts break and their contents combine. The enzyme encounters indican molecules and begins to cut them apart into indoxyl and glucose molecules. Oxygen from the air (maybe freshly made by a neighboring leaf) reacts with two indoxyl molecules to form leucoindigo. At the neutral pH of the leaf juice or on the slightly acidic surface of your skin, this three-way reaction can take a little while to happen. But these conditions are perfect for the beta-glucosidase enzyme to keep making indoxyl from any indican within reach, and all that indoxyl piling up starts to make the reaction a bit faster as we keep waiting.
The steps that generate leucoindigo are hidden from us, as our eyes can’t pick out the yellow in a mix with so much green from the chlorophyll of the crushed leaf. But when a freshly made leucoindigo molecule encounters more oxygen, the blue that emerges from the reaction is unmistakable. We know we have indigo.
Getting to Know the Molecules
Indican (below) consists of indoxyl (which will end up as half of our future indigo molecule) attached by a strong bond to glucose (a very common sugar). It is very soluble in water and can be gently boiled. It will take about 1000 grams of fresh Persicaria tinctoria leaves grown in good conditions to give us about 12-25 grams of indican. Just counting up the atoms in the molecules, we can calculate that 12-25 grams of indican could theoretically yield about 5-11 grams of indigo (plus plenty of leftover glucose). The best yield of indican and indigo is from leaves harvested right before the plant begins to flower in early fall.
Beta-glucosidase is an enzyme that can easily break the otherwise very stable bond between indoxyl and glucose in an indican molecule. Each plant that produces indican has its own version, made of protein and capable of converting all the indican within reach into indoxyl and glucose. For Persicaria tinctoria, the beta-glucosidase enzyme works best around 40°C ( just over 100°F, or the temperature of a pleasantly warm bath). It isn’t active at all over 60°C, and it seems to be permanently destroyed by hotter temperatures. It has high activity between pH 5.5 and 7.5 (slightly acidic to neutral), and stays active for longer in thicker, more syrupy conditions. Under the right conditions, a little enzyme can go a long way.
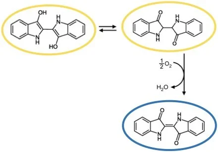
Indoxyl (above) is very reactive molecule. There’s a reason plants go to the trouble of storing it as indican. Once it’s free, it can re-arrange itself and can react to become many different molecules. If we want indigo, we get to blue by way of yellow. When there’s plenty of oxygen around, two indoxyls can join together to make leucoindigo (shown below).
Leucoindigo is a bright yellow molecule. It’s almost insoluble at neutral pH, but quite soluble at high pH (with a strong base). If you’ve ever played with an indigo vat, you’ve seen this molecule before. As you might guess, we’re very close to what we’ve come for. All we need is a bit of rearranging and some additional oxygen to get…
Indigo! This magical, mythical blue is so stable it can survive shipwrecks. It’s insoluble in water at any pH, which helps it last longer as a dye.
Science References
Indican content of Persicaria tinctoria: Angelini LG, Tozzi S, Nassi o Di Nasso N. Environmental Factors Affecting Productivity, Indican Content, and Indigo Yield in Polygonum tinctorium, a Subtropical Crop Grown under Temperate Conditions. J. Agric. Food Chem. 2004, 52, 25, 7541–7547. doi: 10.1021/jf040312b.
Location of indican: Minami Y, Nishimura O, Hara-Nishimura I, Nishimura M, Matsubara H. Tissue and intracellular localization of indican and the purification and characterization of indican synthase from indigo plants. Plant Cell Physiol. 2000 Feb;41(2):218-25. doi: 10.1093/pcp/41.2.218. PMID: 10795317.
Location of enzyme: Minami Y, Takao H, Kanafuji T, Miura K, Kondo M, Hara-Nishimura I, Nishimura M, Matsubara H. beta-Glucosidase in the indigo plant: intracellular localization and tissue specific expression in leaves. Plant Cell Physiol. 1997 Sep;38(9):1069-74. doi: 10.1093/oxfordjournals.pcp.a029273. PMID: 9360324.
Optimal conditions for enzyme, temperature of denaturation: Minami Y, Kanafuji T, Miura K. Purification and characterization of a beta-glucosidase from Polygonum tinctorium, which catalyzes preferentially the hydrolysis of indican. Biosci. Biotech. Biochem. 1996 January:60(1):147-149 doi: 10.1271/bbb.60.147.
Excellent Books on History, Cultivation and Dyeing
Balfour-Paul, Jenny. Indigo: Egyptian mummies to blue jeans. Firefly Books, 2011.
Buchanan, Rita. A Weaver’s Garden. Dover, 1999.
Marshall, John. Singing the Blues. St. Titus Press, 2018.
Vejar, Kristine and Adrienne Rodriguez. Journeys in Natural Dyeing. Abrams, 2020.
Interesting Indigo Links
https://botanicalcolors.com/indigo-instructions/
https://maiwahandprints.blogspot.com/2020/04/how-to-dye-with-indigo-tutorial.html
http://www.asiantextilestudies.com/indigo.html
https://www.grahamkeegan.com/indigo-manufacture
https://www.thedogwooddyer.com/blog/2019/8/25/fresh-leaf-indigo-experiments-at-john-marshalls-studio
